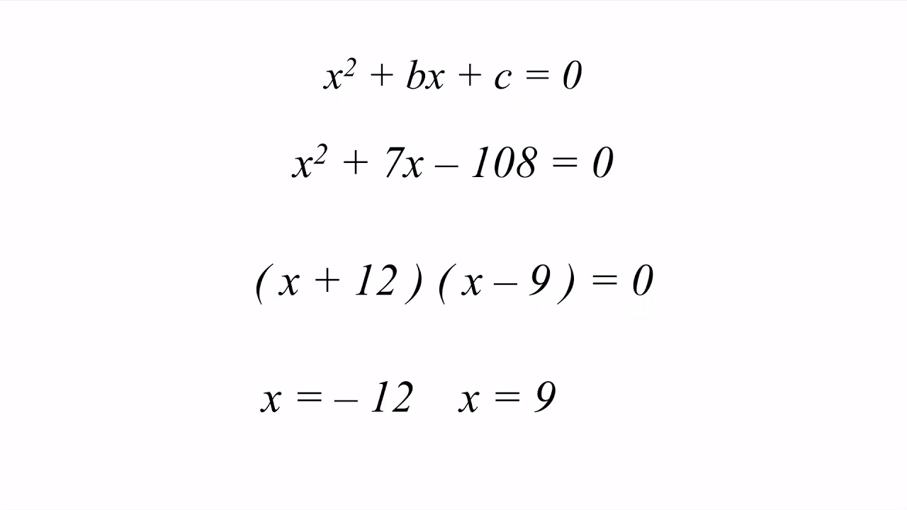
Factorización de trinomios de la forma x2+bx+c, próximamente ejemplos de trinomios de mayor dificultadFactorización de trinomios sencillos | |
| 9 Likes | 9 Dislikes |
| 25 views views | 281 followers |
| Education | Upload TimePublished on 24 Sep 2019 |
Factorización de trinomios de la forma x2+bx+c, próximamente ejemplos de trinomios de mayor dificultadFactorización de trinomios sencillos | |
| 9 Likes | 9 Dislikes |
| 25 views views | 281 followers |
| Education | Upload TimePublished on 24 Sep 2019 |
Không có nhận xét nào:
Đăng nhận xét